Of all the techniques well be looking at in this class this is the technique that students are most. Think as you read q1. In the mathematical field of complex analysis contour integration is a method of evaluating certain integrals along paths in the complex plane.
Integration Class 12 By Parts Video 1 Basics Ncert Numericals
The first documented systematic technique capable of determining integrals is the method of exhaustion of the ancient greek astronomer.
Math formulas list of basic maths formulas.
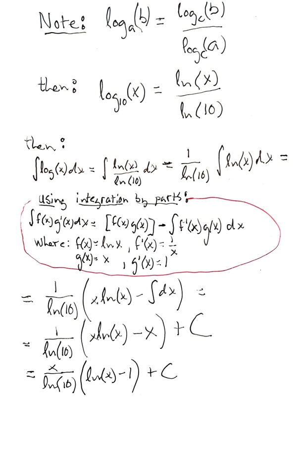
These formula includes algebra identities arithmetic geometric and various other formulas. Download all maths formulas pdf. Common derivatives and integrals visit httptutorialmathlamaredu for a complete set of calculus i ii notes. C 2005 paul dawkins inverse trig functions.
55 thoughts on how to calculate oee the real oee formula with examples.
Let and in are reserved words. Before going even one step further the first and foremost thing you need to know. M power query formula language is case sensitive. In previous post youve learned about formula language of the power query known as m.
Youve learned that m is a functional language that apply data.
English language arts standards science technical subjects grade 6 8 7 print this page. Integrate quantitative or technical information expressed in words. Ncert solutions for class 12 flamingo english the last lesson questions from textbook solved.
 
            
 
            
 
            
 
            
 
            
 
            
 
            
