Skip to content
  
    
    
    ads/responsive.txt
            
        
            
                 
            
            
            
                Integrate Ln X/(x^2-1)^3/2 X X 2 Dx From X 1 To 2 Youtube
                 
                
             
        
        
            
              
            Solved Use Integration By Parts To Find The Integral Int
            
            ads/responsive.txt
            
                                                
             Calculus Ii Integral Test
            Calculus Ii Integral Test
            
                        
                
                
            
                                                
             The Definite Integral And Fundamental Theorem Of Calculus Page 2
            The Definite Integral And Fundamental Theorem Of Calculus Page 2
            
                        
                
                
            
                                                                        
             Exercise Integration By Partial Fraction 2 Integration By
            Exercise Integration By Partial Fraction 2 Integration By
            
                        
                
                
            
                                                
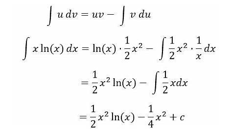
             Integration By Parts
            Integration By Parts
            
                        
                
                
            
                                                                        
             Department Of Mathematics Texas A M University
            Department Of Mathematics Texas A M University
            
                        
                
                
            
                                                
             Maclaurin Series For Ln 1 X How To Steps Video Lesson
            Maclaurin Series For Ln 1 X How To Steps Video Lesson
            
                        
                
                
            
                                                                        
             Integration By Parts Method Solved Integrals Primitives
            Integration By Parts Method Solved Integrals Primitives
            
                        
                
                
            
                                    
            
             
            
         
    
              
        
      
        
    
   
