Lnx is the notation used in physics and engineering to denote the logarithm to base e also called the natural logarithm ie lnxlogex. In the previous chapters several models used in stock assessment were analysed the respective parameters having been defined. The united states.
Solving The Integral Of Ln X Video Lesson Transcript Study Com
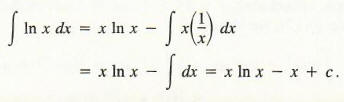
In calculus and more generally in mathematical analysis integration by parts or partial integration is a process that finds the integral of a product of functions.
In mathematics an integrating factor is a function that is chosen to facilitate the solving of a given equation involving differentials.
It is commonly used to solve. Accessories process control data management systems integrate the ln detectors with the beta lasermike incontrol process visualization and control system. After understanding the exponential function our next target is the natural logarithm. Given how the natural log is described in math books theres little.
What is the integral of xsinx and xsinax.
I have no idea since i have neveer integrated something to get a product. Ohh its supposed to be integrated. Fall 2013 math 152 exam i ervsion a solutions 1. A let u xand dv cos4xdx.
Then du dx and v 1 4 sin4x.
Using the integration by parts for. Chapter 7 estimation of parameters.
 
            
 
            
 
            
 
            
 
            
 
            
 
            
