ads/responsive.txt
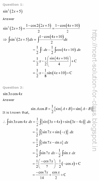
Ex 7 3 2 Integrate Sin 3x Cos 4x Class 12 Cbse Ex 7 3

Integral Of Sin^3x Cos^4x How To Integrate Sin 3 X Cos 4 X Dx Youtube

Integration the basics dr. Cos 3x 3cos4cos 3 cos 4x 1 8cos 2 8cos 4 cos 5x 5cos 20cos 3 16cos 5 cos 6x 118cos 2 48cos 4 32cos 6 cos 7x 7cos56cos 3 112cos 5.

Mundeep gill brunel university 1 integration integration is used to find areas under curves. Master the concepts of trigonometric equations including trigonometry formulas and trigonometric functions and identities with the study material for iit jee by. Integration is the reversal of.

Integral Calculator Integrate With Wolfram Alpha

ads/responsive.txt
Solved Integrate Integral 3x 2 Cos 4x 3 Dx Using The Sub
Solved Integrate Integral 3x 2 Cos 4x 3 Dx Using The Sub

Contoh Soal Dan Penyelesaian Trigonometri Secara Lengkap
Contoh Soal Dan Penyelesaian Trigonometri Secara Lengkap

Sin2x Equals Math Ex Integrate Cos X Sin X 1 Sin Math Playground Red
Sin2x Equals Math Ex Integrate Cos X Sin X 1 Sin Math Playground Red

Ncert Solutions For Class 12 Maths Chapter 7 Integrals Free Pdf
Ncert Solutions For Class 12 Maths Chapter 7 Integrals Free Pdf

Solved Integral X Squareroot 4 9x 2 Dx Integral Sin 3 3
Solved Integral X Squareroot 4 9x 2 Dx Integral Sin 3 3

Cos X Sin X Math Enter Image Description Here Sin Trig Formula
Cos X Sin X Math Enter Image Description Here Sin Trig Formula

How To Integrate Integrate Sinxdx Sin 3x Cos 3x Quora
How To Integrate Integrate Sinxdx Sin 3x Cos 3x Quora

counter