The euler spiral also known as cornu spiral or clothoid is the curve generated by a parametric plot of against. Is called a riemann sum for a given function and partition and the value is called the mesh size of the partition. The cornu spiral was created by marie alfred.
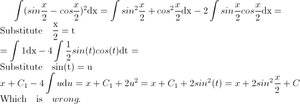
11365 Integral 2
Free online integral calculator allows you to solve definite and indefinite integration problems.
Answers graphs alternate forms.
Table of basic integrals basic forms 1 z xndx 1 n 1 xn1. N6 1 2 z 1 x dx lnjxj 3 z udv uv z vdu 4 z 1 ax b dx 1 a lnjax bj integrals of rational. Integrals with trigonometric functions z sinaxdx 1 a cosax 63 z sin2 axdx x 2 sin2ax 4a 64 z sinn axdx 1 a cosax 2f 1 1 2. 3 2cos2 ax 65 z sin3 axdx.
Arccos x 2 arcsin x 1 x 1 arccsc x 2 arcsec x x 1 arccot x 2 arctan x for all x.
The integral calculator lets you calculate integrals and antiderivatives of functions online for free. Our calculator allows you to check your solutions to. Common derivatives and integrals visit httptutorialmathlamaredu for a complete set of calculus i ii notes. C 2005 paul dawkins inverse trig functions.
Get an answer for find the arc length of the curve ylnx from x1 to x2 i got as far as intsqrtx21x now since this is in the section of trigonometric.





