ads/responsive.txt
Integral Of X 3 Sqrt X 2 1 Substitution Youtube

Integral Of 1/x^3 Sqrt(x^2-1) How To Find The 1 X 3sqrt X 2 1 Quora

Geneseo Math 222 01 Integration By Parts

ads/responsive.txt
How Do You Find The Integral Of 1 X 2 Sqrt 256 X 2 Socratic
How Do You Find The Integral Of 1 X 2 Sqrt 256 X 2 Socratic


Deprecated: str_replace(): Passing null to parameter #3 ($subject) of type array|string is deprecated in /opt/frankenphp/demaxde.com/Helpers/Helpers.php on line 35

Finding The Derivative Of The Square Root Of X Video Lesson
Finding The Derivative Of The Square Root Of X Video Lesson

Students Answers To Review Problems For The Second Exam In Math 291
Students Answers To Review Problems For The Second Exam In Math 291

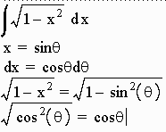
Integral Of Sqrt 1 X 2 Substitution By Parts Youtube
Integral Of Sqrt 1 X 2 Substitution By Parts Youtube


Deprecated: str_replace(): Passing null to parameter #3 ($subject) of type array|string is deprecated in /opt/frankenphp/demaxde.com/Helpers/Helpers.php on line 35

Integral Calculator With Steps
Integral Calculator With Steps

counter