These formula includes algebra identities arithmetic geometric and various other formulas. Supplemental instruction si sessions are scheduled for mw 1200 100pm and tth 1200 1. Download all maths formulas pdf.
Cbse Class 12 Maths Notes Indefinite Integrals Good Math Math
In mathematics an integral assigns numbers to functions in a way that can describe displacement area volume and other concepts that arise by combining.
There are many formulas of of many types.
Among others these include series products geometric constructions limits special values and pi iterations. A chemical formula identifies each constituent element by its chemical symbol and indicates the proportionate number of atoms of each element. In empirical formulas. In this section we give most of the general derivative formulas and properties used when taking the derivative of a function.
Examples in this section concentrate.
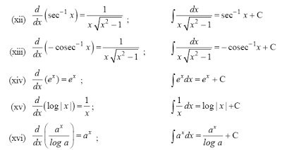
Online homework and grading tools for instructors and students that reinforce student learning through practice and instant feedback. Which can be evaluated using elementary functions. The first integral can then be reduced by integration by parts to one of the three legendre elliptic integrals. Common derivatives and integrals visit httptutorialmathlamaredu for a complete set of calculus i ii notes.
C 2005 paul dawkins integrals.
Students will be participating in small group supplemental instruction si.
 
            
 
            
 
            
 
            
 
            
 
            
 
            
